
Casting the Future: Optimizing the extraterrestrial 3D printing of cement-based structures
Funded by the European Space Agency (ESA)
A project aiming to optimize the 3D printing process using lunar regolith-derived materials to construct durable and sustainable infrastructure for future human habitats on extraterrestrial sites

Introduction
The colonization of other worlds has been a long-standing desire of humankind. This has yet to occur due to several challenges that we first need to master, such as gravity variations, extreme temperature fluctuations, and the use of extraterrestrial materials. In this project, we propose to derive a constitutive rheological model that can accurately predict the rheological response of cementitious materials to be used under such severe variations. The model will be carefully calibrated using available experimental data from the literature. Then, the model will be employed in numerical simulations to scrutinize its capacity to properly address the cement flow behavior in 3D printing processes by considering both gravity and temperature variations. Finally, we aim to build a machine-learning algorithm that can provide optimal material properties given the gravity and temperature variations of a pre-selected extraterrestrial location. The ultimate in silico tool to be produced will allow the a priori selection of best building practices on extraterrestrial colonies
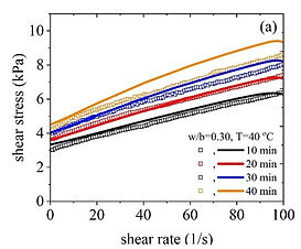
Modeling the rheological behavior of cement pastes
Modeling the rheological behavior of lunar regolith simulant pastes

